Revista Mexicana de Ciencias Forestales Vol. 15 (81)
Enero - Febrero (2024)
DOI: https://doi.org/10.29298/rmcf.v15i81.1421 Artículo de investigación
Vegetation life forms at treeline a high mountain forest in Mexico Formas de vida de la vegetación en el límite superior de un bosque de alta montaña en México
Marlín Pérez-Suárez1*, Farid Uriel Alfaro-Ramírez1, Jorge Enrique Ramírez-Albores2, Francisca Ofelia Plascencia-Escalante3 |
Fecha de recepción/Reception date: 22 de agosto de 2023.
Fecha de aceptación/Acceptance date: 23 de noviembre de 2023.
_______________________________
1Universidad Autónoma del Estado de México, Instituto de Ciencias Agropecuarias y Rurales (ICAR). México.
2Universidad Autónoma Agraria Antonio Narro, Departamento de Botánica. México.
3Colegio de Postgraduados, Posgrado Forestal, Campus Montecillo. México.
*Autor para correspondencia; correo-e: mperezs@uaemex.mx, marpersua@gmail.com
*Corresponding author e-mail: mperezs@uaemex.mx; marpersua@gmail.com
Abstract
The objective of the present study was to characterize the diversity of life forms and plant community structure along an altitudinal gradient of the Pinus hartwegii treeline ecotone on Nevado de Toluca, Mexico. Plant species in the tree boundary ecotone were sampled, identified and quantified based on plant morphology under adverse conditions (life forms). The diversity of life forms in the ecotone was calculated using Shannon's diversity index and the structure was evaluated in terms of density and abundance of plant species. A total of 43 plant species belonging to 30 genera and 18 families were identified. Chamaefites were the most abundant life form (>50 %); as altitude increased, life form diversity increased, while abundance decreased. Species diversity was proportionally and significantly (p<0.05) related to increasing altitude along the treeline ecotone. The tree height and density of the Pinus hartwegii treeline ecotone diminished gradually along the treeline ecotone (diffuse form), which was characterized by more pronounced abiotic stress conditions at higher altitudes due to the altitudinal range sampled and because this ecotone represents the distribution limit of forest species and the beginning of grassland distribution. The diversity and distribution of life forms present in the P. hartwegii treeline ecotone may modify microenvironmental conditions or processes and, therefore, they regulate the response of other species associated with climate change.
Key words: Alpine ecosystems, altitudinal gradient, altitudinal migration, Climate change, facilitation, Nevado de Toluca.
Resumen
El objetivo del presente estudio fue caracterizar la diversidad de las formas de vida y la estructura de la comunidad vegetal a lo largo de un gradiente altitudinal del ecotono del límite arbóreo de Pinus hartwegii en el Nevado de Toluca, México. Se muestrearon, identificaron y cuantificaron las especies vegetales con base en la morfología de la planta en condiciones adversas (formas de vida). La diversidad de formas de vida se calculó con el Índice de Diversidad de Shannon, y la estructura se evaluó en función de la densidad y abundancia de los taxa de plantas. Se identificaron 43 taxones pertenecientes a 30 géneros y 18 familias botánicas. Los caméfitos fueron la forma de vida más abundante (>50 %). La diversidad de las formas de vida fue mayor a medida que aumentó la altitud, pero su abundancia disminuyó. La diversidad de especies se relacionó proporcional y significativamente (p<0.05) con una altitud creciente a lo largo del ecotono del límite arbóreo. La altura y la densidad de los árboles de P. hartwegii decreció gradualmente a lo largodel gradiente muestreado (forma difusa), el cual se caracterizó por sus condiciones de más estrés abiótico a mayores altitudes, ya que este ecotono representa el límite de distribución de las especies forestales y el inicio de los pastizales. La diversidad y distribución de las formas de vida en el ecotono del límite arbóreo de P. hartwegii pueden modificar las condiciones o los procesos microambientales; por lo tanto, regulan la respuesta al cambio climático de otras especies asociadas.
Palabras clave: Ecosistemas alpinos, gradiente altitudinal, migración altitudinal, Cambio climático, facilitación, Nevado de Toluca.
Introducción
Los ecosistemas de alta montaña situados por arriba de los 2 800 m (Challenger y Soberón, 2008) incluyen numerosas zonas de transición entre comunidades vegetales (conocidas como ecotonos), las cuales son muy dinámicas (Kark, 2017). El límite arbóreo, que representa la zona de transición entre las zonas boscosas y otros tipos de vegetación, marca el límite superior de las zonas boscosas en las laderas con el mismo aspecto (Richardson y Friedland, 2009; Kark, 2017). No están claros los mecanismos globales que controlan el crecimiento de los árboles más allá del límite arbóreo; sin embargo, no cabe duda de la influencia que ejerce la temperatura sobre los procesos ecológicos y fisiológicos del arbolado de alta montaña, lo que les confiere una dinámica de gran utilidad para la detección precoz de los cambios inducidos por el calentamiento global (Holtmeier, 2009; Treml y Chuman, 2015; Kark, 2017). Asimismo, tanto la estructura de la vegetación como la composición vegetal del límite arbóreo son clave para comprender la respuesta de los ecosistemas de montaña a los cambios en las condiciones ambientales (Richardson y Friedland, 2009; Harsch y Bader, 2011). Además, pueden favorecer el crecimiento y la resiliencia de las plantas en condiciones extremas, y con ello potencialmente prolongar su longevidad (Wielgolaski et al., 2017).
Como parte de un proceso de adaptación evolutiva, muchas especies vegetales de los ecosistemas de alta montaña han desarrollado notables modificaciones estructurales, fenotípicas y fisiológicas para mitigar el estrés abiótico al que se enfrentan en esas grandes altitudes (Parmesan, 2006; Alberto et al., 2013). Estas adaptaciones han generado una gran variedad de formas de vida vegetal y endemismos en los ecosistemas de alta montaña (Cavieres y Badano, 2009; Körner, 2017). La diversidad de formas de vida en estos ecosistemas es un factor crucial para el establecimiento y la supervivencia de las plantas en sus áreas de distribución (Callaway et al., 2002) y en nuevos sitios (Cavieres y Badano, 2009; Badano et al., 2015), además influye en sus migraciones latitudinales o altitudinales en respuesta al cambio de las condiciones ambientales. De tal manera que, muchas plantas alpinas desarrollan estrategias de tolerancia al estrés, como un tamaño pequeño o una tasa de crecimiento lenta, cuyos efectos amortiguadores sobre el microambiente no cambiarán mucho con el tiempo (Anthelme et al., 2014). Asimismo, la migración altitudinal de un bosque podría favorecerse o limitarse en función de la composición vegetal del ecotono (Alberto et al., 2013; Badano et al., 2015).
El límite altitudinal superior del pino mexicano (Pinus hartwegii Lindl.) es el más alto del mundo (Calderón de Rzedowski y Rzedowski, 2005). Esta especie se ha adaptado a condiciones adversas extremas: temperaturas muy bajas, radiación solar alta, vientos helados y abrasivos (Körner et al., 2021), suelos poco profundos y no consolidados, baja disponibilidad de nutrientes y suelos congelados (Kozlowski y Pallardy, 2002; Körner et al., 2021). Sin embargo, esas adaptaciones, hacen a P. hartwegii muy sensible a los cambios ambientales.
En varios estudios se han analizado los cambios en su límite altitudinal superior en el Nevado de Toluca y el Iztaccíhuatl-Popocatépetl (ambos volcanes en el centro de México) debido a un aumento medio de la temperatura local de 1.5 °C en los últimos 50 años (Pérez-Suárez et al., 2022). Este fenómeno es especialmente relevante, si se considera que la temperatura del centro de México aumente 2 °C para 2080 (Arriaga y Gómez, 2004; Alfaro-Ramírez et al., 2020). No obstante, existe poco conocimiento de la composición, estructura y funcionamiento de las especies que componen el ecotono arbóreo de P. hartwegii, así como sobre la presencia de relaciones facilitadoras y competitivas entre las diferentes formas de vida, especialmente, en el caso de las anuales que responden de manera más rápida a los cambios ambientales, en comparación con las más longevas, como los árboles.
En este contexto, el objetivo del presente estudio fue conocer la composición de la comunidad vegetal a lo largo de un gradiente altitudinal del ecotono arbóreo de Pinus hartwegii; con las siguientes preguntas de investigación ¿qué proporción de otras formas de vida acompañan a Pinus hartwegii? ¿Hay alguna relación entre la proporción de formas de vida existentes a lo largo del gradiente altitudinal y una disminución del número de árboles de la especie Pinus hartwegii a medida que aumenta la altitud?
Para responder a esos cuesttionamientos, se determinó la diversidad de especies y la proporción de formas de vida de la comunidad vegetal a lo largo de un gradiente altitudinal del ecotono arbóreo de Pinus hartwegii en el Nevado de Toluca, en el centro de México. Los datos resultantes podrían servir de referencia para futuras comparaciones y constituyen una base para análisis más profundos de las relaciones competitivas y facilitadoras que promueven o limitan la migración ascendente del bosque de Pinus hartwegii. La comprensión de estas relaciones, permitirá la generación de modelos más precisos para predecir potencialmente la migración altitudinal de P. hartwegii con base en la composición de la comunidad vegetal de su ecotono arbóreo.
Materiales y Métodos
Área de estudio
El área de estudio se localizó en el Estado de México, centro del país, entre los Valles de Toluca y Tenango, dentro del Área de Protección de Flora y Fauna Nevado de Toluca (18°51'-19°19' N y 99°38'-100°09' O; Figura 1); cuyo intervalo altitudinal es de 3 000 a 4 680 m (Vargas, 1984). Predominan los climas semifrío subhúmedo (C[E]wig) y el frío (E[T]Hwig) (García, 1990), con temperaturas medias inferiores a 10 °C, escasas precipitaciones y nevadas en invierno (Challenger y Soberón, 2008). El principal tipo de suelo es Andosol y en proporciones menores Feozem, Regosol, Cambisol y Litosol (Vargas, 1984). Los bosques templados de coníferas son abundantes y están dominados por especies de los géneros Abies Mill., Pinus L. y Quercus L. entre los 3 000 y 4 100 m; mientras que por arriba de 3 950 y hasta 4 500 m hay pastos de montaña, en los que predominan los géneros Festuca L. y Calamagrostis Adans. (Calderón de Rzedowski y Rzedowski, 2005).
Figura 1. Ubicación del Área de Protección de Flora y Fauna Nevado de Toluca en el centro de México.
Diseño del muestreo
Se utilizó un diseño de muestreo sistemático estratificado para subdividir la zona de estudio de acuerdo con el nivel altitudinal y para, posteriormente, identificar cualquier patrón en la variación espacial de las comunidades vegetales (Matteucci y Colma, 1982).
Se establecieron cinco transectos perpendiculares de 220 m de longitud a lo largo del ecotono del límite arbóreo para cubrir un gradiente altitudinal; los transectos seleccionados eran accesibles y presentaban un estado de conservación similar en el límite arbóreo, así como un gradiente similar. En cuanto al cráter volcánico, dos transectos tuvieron una orientación noroeste y tres este-sureste.
Se marcaron seis parcelas de 20×20 m a lo largo de cada transecto, según el modelo experimental de Camarero y Fortin (2006). Tres parcelas se ubicaron por debajo de la línea forestal (zona boscosa) y se les denominó, de menor a mayor altitud: Bos1, Bos2 y Bos3; las otras tres se situaron por encima de la línea forestal (zona herbácea) y se identificaron como Pas4, Pas5 y Pas6 (Camarero y Fortin, 2006). La separación de los puntos centrales entre parcelas fue de 40 m; cada una de ellas se dividió en cuatro cuadrantes de 10×10 m, numerados del 1 al 4 en el sentido de las manecillas del reloj; por parcela se seleccionaron alternativamente dos cuadrantes opuestos (1 y 3, o 2 y 4), en los cuales se establecieron de manera aleatoria dos parcelas de 3×3 m para evaluar los estratos herbáceos. Así, se generaron datos por parcela y nivel altitudinal para la cubierta vegetal en ambos lados de la línea forestal y con base en la orientación de los sitios de muestreo.
Caracterización de las formas de vida
La diversidad de formas de vida en el ecotono arbóreo de Pinus hartwegii se determinó mediante la recolección e identificación de todas las especies vegetales presentes en el periodo de agosto a octubre de 2018. Se registró el número de individuos de cada taxón por parcela para posteriormente estimar su abundancia relativa y se calculó la diversidad específica de cada nivel altitudinal, de acuerdo con el Índice de Diversidad de Shannon (H') (Buckland et al., 2005). El esfuerzo de muestreo se basó en las curvas de rarefacción y extrapolación generadas en la versión iNEXT Online (Chao et al., 2022) con números de Hill (Chao et al., 2014, Cox et al., 2017) debido a que estos incorporan la riqueza de especies y la abundancia relativa, además de que permiten elegir explícitamente la sensibilidad de la métrica de la diversidad a las especies raras (Chao et al., 2014, Cox et al., 2017). Se utilizó un número de Hill con q=1; es decir, el número de diversidad de Hill Shannon que no destaca las especies raras, ni a las comunes para permitir caracterizar los gradientes de biodiversidad) (Chao et al., 2014).
La robustez de la muestra se midió con curvas de acumulación de diversidad basadas en el tamaño de la muestra, en las que el número de diversidad de Hill y el Índice de Shannon esperados se representan gráficamente en función del tamaño de la muestra mediante el número de individuos (Chao et al., 2014; Cox et al., 2017). También, se usaron curvas de diversidad basadas en la cobertura para trazar la diversidad esperada en función de la cobertura interpolada (observada) y extrapolada (esperada).
Todas las especies vegetales encontradas en el ecotono arbóreo superior de P. hartwegii se clasificaron como fanerófitas, caméfitas, hemicriptófitas, criptófitas o terófitas, según la clasificación de Raunkiaer (1934), la cual se basa en la altura de los brotes de las plantas durante las estaciones con condiciones adversas. Se calculó la proporción de formas de vida por nivel altitudinal y el porcentaje de cobertura (cobertura de especies) ocupado por cada forma de vida. Los ejemplares recolectados se identificaron en el Herbario-Hortorio Chapa del Colegio de Postgraduados, campus Montecillo.
Estructura del ecotono arbóreo alpino de Pinus hartwegii
Cada parcela fue georreferenciada (Garmin GPSmap® 64s), se calculó la altitud media (nivel altitudinal) y establecieron los límites del ecotono arbóreo. En todas las parcelas, la altura de los árboles, el diámetro normal (DN) y la densidad de se determinaron mediante el método de la ventana móvil dividida, adaptada de Camarero y Fortin (2006), que consiste en estimar la diferencia entre dos mitades de una ventana móvil que recorre el transecto, mediante distancias euclidianas al cuadrado.
A continuación, se obtuvo un modelo de distribución altitudinal del ecotono arbóreo superior de P. hartwegii en el software Idrisi Selva (Eastman, 2012). Las dimensiones altitudinales y los límites del ecotono arbóreo se definieron con una clasificación supervisada basada en puntos georreferenciados, que también se utilizó para confirmar el modelo generado. Por último, con base en los datos generados con el modelo de distribución de elevación se caracterizó la forma del ecotono arbolado según Harsch y Bader (2011), quienes reconocieron cuatro formas posibles: (I) Difuso: presenta una disminución gradual de la altura y la densidad de los árboles a lo largo del ecotono arbóreo; (II) Abrupto: corresponde a un bosque continuo (>3 m de altura) que limita directamente con la vegetación alpina baja. La altura y la densidad de los árboles cambian rápidamente. Si bien, puede haber árboles por arriba del bosque continuo, su presencia es poco frecuente; (III) Insular: caracterizado por manchas agrupadas o franjas lineales de krummholz o árboles que superan el límite del bosque continuo; (IV) Krummholz: presencia de árboles de tallos múltiples severamente atrofiados o deformes. Esta forma de crecimiento puede observarse como parches agrupados por arriba del bosque erguido, en cuyo caso se clasificó el límite arbóreo como un límite arbóreo insular; o bien como una banda dispersa o contigua por arriba del bosque erguido.
Análisis estadístico
La prueba de Shapiro-Wilk y la de homocedasticidad mediante la prueba de Levene comprobaron la normalidad de los datos dado el número de muestras (Rahman y Govindarajulu, 1997). Se realizó un análisis de varianza (ANOVA) unidireccional con la densidad de árboles y la diversidad de especies (H') como factores principales y con el nivel altitudinal como factor de clasificación, seguido de la prueba de comparación múltiple de Tukey (Zar, 1998). Se aplicó una regresión lineal para las asociaciones de las variables altitud-altura y altitud-DN. La diversidad de formas de vida se evaluó a partir de su distribución proporcional por transecto y por estrato altitudinal. Todos los análisis estadísticos se realizaron en JMP8 (SAS, 2008) con un nivel de confianza de 95 %.
Resultados
Diversidad y riqueza de formas de vida
Se identificaron 43 especies vegetales pertenecientes a 30 géneros y 18 familias botánicas en el ecotono arbolado de Pinus hartwegii en el Nevado de Toluca. Las familias Asteraceae (12 especies) y Poaceae (ocho especies) presentaron la mayor diversidad y abundancia (Cuadro 1). Los taxa dominantes fueron Calamagrostis tolucensis (Kunth) Trin. ex Steud., Agrostis tolucensis Kunth, Festuca tolucensis Kunth, entre otras (Cuadro 1). Las curvas de acumulación de diversidad se saturaron para los dos niveles altitudinales (Figura 2a-b). La cobertura de la muestra alcanzó una asíntota con el esfuerzo de muestreo en todos los niveles altitudinales (Figura 2c-d). La cobertura de la muestra tuvo un número de diversidad de Hill e Índice de Shannon de ≥98 % en promedio para todo el nivel altitudinal (Figura 2e-f).
Cuadro 1. Familias y especies presentes en el ecotono arbóreo alpino de Pinus hartwegii Lindl. en el Área de Protección de Flora y Fauna Nevado de Toluca.
| Famila Especie |
AR (%) por nivel altitudinal |
FV |
|||||
|---|---|---|---|---|---|---|---|
| Bos1 |
Bos2 |
Bos3 |
Pas4 |
Pas5 |
Pas6 |
||
| Alliaceae Allium L. sp. |
0 |
2.23 |
0.90 |
0 |
0.09 |
0 |
Caméfita |
| Apiaceae Eryngium monocephalum Cav. |
3.00 |
2.23 |
5.28 |
6.75 |
9.84 |
10.71 |
Hemicriptófita |
| Asteraceae Conyza coronopifolia Kunth |
1.22 |
4.93 |
6.79 |
1.44 |
0.68 |
0.67 |
Caméfita |
| Conyza schiedeana (Less.) Cronquist |
0.13 |
0.58 |
1.20 |
0.24 |
0 |
0 |
Caméfita |
| Erigeron galeottii (A. Gray) Greene |
0.13 |
0.23 |
0 |
0.24 |
0 |
0 |
Hemicriptófita |
| Eupatorium prunellifolium Kunth |
0 |
0.23 |
0 |
0.36 |
0.38 |
0 |
Hemicriptófita |
| Gnaphalium lavandulaceum DC. |
0 |
0 |
0.60 |
2.77 |
3.11 |
1.25 |
Caméfita |
| Gnaphalium liebmannii Sch. Bip. ex Klatt |
0 |
0 |
0 |
0.60 |
1.75 |
1.83 |
Hemicriptófita |
| Gnaphalium oxyphyllum DC. |
0.27 |
0.82 |
3.02 |
1.44 |
1.85 |
2.12 |
Hemicriptófita |
| Gnaphalium sarmentosum Klatt |
0.13 |
1.52 |
1.66 |
2.89 |
1.26 |
2.60 |
Hemicriptófita |
| Hieracium dysonymum S. F. Blake |
2.18 |
1.52 |
2.87 |
2.53 |
4.38 |
3.57 |
Hemicriptófita |
| Hieracium pringlei A. Gray |
0.81 |
0.35 |
1.35 |
0.72 |
1.65 |
2.02 |
Hemicriptófita |
| Senecio mairetianus DC. |
0.68 |
1.29 |
1.05 |
1.32 |
0.38 |
0.48 |
Fanerófita |
| Senecio roseus Sch. Bip. |
0 |
0.35 |
0 |
0 |
3.89 |
0.38 |
Hemicriptófita |
| Asparagaceae Echeandia durangensis (Greenm.) Cruden |
0 |
0.23 |
0 |
0.12 |
0 |
0 |
Caméfita |
| Brassicaceae Draba L. sp. |
0.95 |
0.58 |
0.45 |
0.12 |
1.85 |
1.15 |
Caméfita |
| Draba jorullensis Kunth |
0.13 |
1.41 |
1.05 |
1.20 |
3.99 |
1.73 |
Caméfita |
| Draba tolucensis Kunth |
0 |
0.82 |
0.15 |
0.84 |
2.14 |
0.77 |
Caméfita |
| Caryophyllaceae Arenaria lanuginosa (Michx.) Rohrb. |
0 |
0.23 |
0.60 |
1.56 |
1.94 |
1.25 |
Hemicriptófita |
| Arenaria bryoides Willd. ex D. F. K. Schltdl. |
0.81 |
2.23 |
2.11 |
6.99 |
3.70 |
6.08 |
Caméfita |
| Euphorbiaceae Euphorbia L. sp. |
10.38 |
22.56 |
6.04 |
6.27 |
2.14 |
6.56 |
Caméfita |
| Fabaceae Lupinus aschenbornii S. Schauer |
2.45 |
6.81 |
4.38 |
7.84 |
9.25 |
9.26 |
Terófita |
| Lupinus montanus Kunth |
1.63 |
3.29 |
1.51 |
4.82 |
3.60 |
5.21 |
Terófita |
| Lupinus L. sp. |
0.13 |
0.70 |
0.15 |
0 |
0 |
0 |
Terófita |
| Gentianaceae Halenia plantaginea (Kunth) G. Don |
0 |
0.35 |
0 |
0.96 |
0.19 |
2.60 |
Hemicriptófita |
| Geranium L. sp. |
0 |
0.11 |
0.15 |
0 |
0 |
0 |
Caméfita |
| Juncaceae Luzula racemosa Desv. |
0 |
0.35 |
0.90 |
3.61 |
2.82 |
3.76 |
Caméfita |
| Orobanchaceae Castilleja lithospermoides Kunth |
0.13 |
0 |
0.30 |
0.36 |
0 |
0.09 |
Caméfita |
| Oxalidaceae Oxalis alpina (Rose) Rose ex R. Knuth |
24.31 |
11.75 |
8.30 |
13.51 |
15.20 |
13.80 |
Criptófita |
| Plantaginaceae Penstemon gentianoides (Kunth) Poir. |
0.54 |
3.52 |
0.45 |
0.24 |
0 |
0 |
Fanerófita |
| Plantago tolucensis Pilg. |
0.54 |
0 |
0.60 |
0 |
0.58 |
0.19 |
Caméfita |
| Poaceae Agrostis tolucensis Kunth |
2.04 |
1.99 |
6.79 |
1.80 |
2.24 |
1.93 |
Caméfita |
| Blepharoneuron tricholepis (Torr.) Nash |
1.22 |
0.23 |
1.20 |
0.12 |
0 |
0.57 |
Caméfita |
| Calamagrostis orizabae (Rupr. ex E. Fourn.) Beal |
0.81 |
0.58 |
1.51 |
0.48 |
0 |
0.19 |
Caméfita |
| Calamagrostis tolucensis (Kunth) Trin. ex Steud. |
23.08 |
16.45 |
22.20 |
17.73 |
13.45 |
12.93 |
Caméfita |
| Festuca L. sp. |
4.50 |
0.23 |
4.07 |
1.44 |
0.29 |
0.67 |
Caméfita |
| Festuca tolucensis Kunth |
7.65 |
5.05 |
3.02 |
4.10 |
5.94 |
5.11 |
Caméfita |
| Poa annua L. |
0.13 |
0.11 |
0.15 |
0.12 |
0 |
0.09 |
Caméfita |
| Trisetum spicatum (L.) K. Richt. |
3.00 |
1.29 |
2.56 |
2.53 |
0.87 |
0.96 |
Caméfita |
| Rosaceae Alchemilla vulcanica Schltdl. & Cham. |
0 |
1.99 |
4.83 |
1.56 |
0.09 |
0.09 |
Caméfita |
| Potentilla richardii Lehm. |
6.83 |
0.35 |
1.05 |
0 |
0.09 |
0.09 |
Caméfita |
| Solanaceae Physalis L. sp. |
0 |
0.35 |
0.60 |
0.24 |
0.19 |
0.09 |
Caméfita |
| Pinaceae Pinus hartwegii Lindl. |
19.90 |
13.40 |
15.80 |
4.20 |
1.30 |
0.50 |
Fanerófita |
Abundancia relativa (AR, %) por nivel altitudinal y forma de vida (FV) de las especies registradas. Los números en negritas indican los valores más altos de abundancia.
Species diversity = Diversidad de especies; Number of individuals = Número de individuos; Rarefaction = Rarefacción; Extrapolation = Extrapolación; Sample coverage = Cobertura de muestreo. a-b = Número de diversidad de Hill e Índice de Shannon en función del número de individuos (con base en el tamaño de la muestra); c-d = Cobertura de la muestra para muestras enrarecidas en función del número de individuos; e-f = Número de diversidad de Hill e Índice de Shannon en función de la cobertura de la muestra (con base en la cobertura para cada nivel altitudinal). Las líneas continuas representan la interpolación (observado) y las líneas discontinuas representan la extrapolación (esperado) de la diversidad de especies.
Figura 2. Curvas de acumulación de diversidad para cada nivel altitudinal.
Gradientes altitudinales y composición de las formas de vida
Las gramíneas en racimo tuvieron la mayor cobertura en el ecotono; Calamagrostis tolucensis (20-60 % de cobertura), Festuca tolucensis (10-30 %), Luzula racemosa Desv. (10-35 %), y Agrostis tolucensis (2-15 %) fueron las más dominantes en todas las parcelas. Los caméfitos fueron la forma de vida dominante en el ecotono arbóreo de Pinus hartwegii (56 % del total de especies registradas), seguidos por los hemicriptófitos (26 %), los fanerófitos (16 %) y los criptófitos (2 %). La cubierta de formas de vida cambió al aumentar la altitud, la cubierta de fanerófitos disminuyó en 91 %, mientras que la cubierta de caméfitos aumentó en 54 % (Figura 3a). Sin embargo, la proporción de la cubierta de fanerófitos se redujo en 94 % y la de caméfitos permaneció estable a lo largo del gradiente altitudinal (Figura 3b).
a = Formas de vida dominantes por nivel altitudinal en bosque (Bos1, Bos2, Bos3) y pastizal (Pas4, Pas5, Pas6); b = Especies pertenecientes a diferentes formas de vida en el ecotono arbóreo de Pinus hartwegii Lindl. en el Nevado de Toluca.
Figura 3. Coberturas relativas.
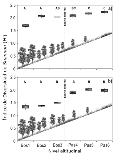
La mayor diversidad (H'=2.13) se registró en el nivel altitudinal Pas6 (4 096 m), y la menor (H'=1.5) correspondió al nivel altitudinal Bos1 (4 043 m; Figura 4). El Índice de Diversidad de Shannon se relacionó positivamente con el aumento de altitud en las parcelas orientadas al noroeste (F=15.22, P=0.0022) y en las parcelas con orientación este-sureste (F=8.47, P=0.0012; Figura 5). La diversidad de los sitios de muestreo también difirió significativamente (F=3.67, P=0.017); los sitios 1, 2 y 3, con orientación este-sureste presentaron la mayor diversidad (Figura 5).
a = Orientación este-sureste; b = Orientación noroeste. Las medias con una letra común no difieren significativamente (P≤0.05).
Figura 4. Índice de Diversidad de Shannon (H') de las formas de vida vegetal por nivel altitudinal en cubiertas forestales (Bos1, Bos2, Bos3) y pastizales (Pas4, Pas5, Pas6).
S1, S2 y S3 = Orientación este-sureste (ESE); S4 y S5 = Orientación noroeste (NO). Las medias con una letra común no son significativamente diferentes (P≤0.05).
Figura 5. Índice de Diversidad de Shannon (H') de las formas de vida en los lugares de muestreo.
Caracterización de la estructura del ecotono
El límite inferior del ecotono arbóreo de Pinus hartwegii en el Nevado de Toluca se localizó entre los 3 980 y 4 090 m, y su límite superior entre los 4 030 y 4 130 m. La densidad arbórea disminuyó significativamente a lo largo del gradiente altitudinal desde 70 % en el límite inferior hasta 8 % en el límite superior, lo que indica que Pinus hartwegii conforma un ecotono difuso en el que la densidad arbórea disminuye gradualmente a medida que aumenta la altitud. La zona boscosa del nivel altitudinal Bos1 (4 043 m) tuvo la densidad media de árboles más alta (925 árboles ha-1), mientras que el nivel altitudinal Pas6 (4 096 m) tuvo la densidad media de árboles más baja (25 árboles ha-1). La altura de los árboles y el DN también se relacionaron significativa y negativamente con el aumento de la altitud (r2=0.21, P=0.0001; r2=0.12, P=0.0001, respectivamente). La altura de los árboles se redujo en un 48 % desde el rango altitudinal más bajo al más alto, y el DN también se redujo en 20 %. A lo largo del gradiente altitudinal del ecotono, la altura de los árboles osciló entre 0.3 y 22.0 m, y la altura media de los árboles fue de 3.88 m. Tanto los árboles más bajos como los más altos se registraron a 4 043 msnm (Bos1). En general, el DN de los árboles osciló entre 1.0 y 72.0 cm, y el DN medio fue de 11.82 cm. Los árboles más grandes tenían entre 50 y 72 cm de diámetro y se registraron en los niveles altitudinales Bos1 (4 043 m) y Bos2 (4 050 m).
La estructura difusa del ecotono de Pinus hartwegii se caracterizó por una creciente diversidad y cobertura de especies de pastos de alta montaña, como Eryngium monocephalum Cav., Lupinus aschenbornii S. Schauer, Arenaria bryoides Willd. ex D. F. K. Schltdl., Oxalis alpina (Rose) Rose ex R. Knuth, Draba tolucensis Kunth y Poa annua L., entre otras, a medida que aumenta la altitud (Cuadro 1). La abundancia de estas especies aumentó hasta 80 % a lo largo del gradiente altitudinal, y su cobertura también aumentó hasta un 90 %. Las especies que acompañan a Pinus hartwegii en niveles de altitud más bajos, incluyendo Festuca tolucensis y Trisetum spicatum (L.) K. Richt., redujeron gradualmente su cobertura entre 10 y 40 % con el aumento de la altitud. Mientras tanto, especies como Calamagrostis tolucensis y Gnaphalium sarmentosum Klatt aumentaron gradualmente su cobertura entre 5 y 30 % con el aumento de la altitud. Del mismo modo, y por encima de la línea forestal, la abundancia de especies como Poa annua y Draba tolucensis,que se registraron en las parcelas Pas4, Pas5 y Pas6 (4 072 a 4 096 m), aumentó gradualmente entre 10 % y 35 % conforme aumentaba la altitud. Otras especies como Senecio mairetianus DC.y Castilleja lithospermoides Kunthtenían una abundancia relativa y una cobertura relativamente estables a lo largo del gradiente altitudinal del ecotono arbóreo de Pinus hartwegii.
Discusión
Pinus hartwegii, nativa de las montañas de México (Calderón de Rzedowski y Rzedowski, 2005), es, por ende, un modelo ideal para estudiar los mecanismos que regulan la supervivencia de las formas de vida arbóreas a gran altitud (Körner y Paulsen, 2004; Pérez-Suárez et al., 2022) y los efectos del cambio climático en la distribución de las especies. En el Nevado de Toluca, Pinus hartwegii forma un ecotono difuso que se caracteriza por la convergencia de formas de vida arbóreas, o terófitas, y herbáceas, o caméfitas, tales como Calamagrostis tolucensis, que domina los pastos de alta montaña (Calderón de Rzedowski y Rzedowski, 2005). La capacidad de esta zona de transición para responder a los cambios en las condiciones ambientales está estrechamente relacionada con la composición y proporción de formas de vida a lo largo del gradiente altitudinal.
El estudio de las formas de vida vegetal permite identificar las interacciones entre las especies y el medio ambiente (Treml y Chuman, 2015; Kark, 2017; Körner, 2017), así como sus adaptaciones morfológicas y fisiológicas (Heslop-Harrison, 2017; dos Santos et al., 2022), lo que da la posibilidad de vislumbrar los procesos de selección y adaptación que podrían regular la supervivencia de las especies vegetales a temperaturas cada vez más elevadas (Körner y Paulsen, 2004; Brooker et al., 2008).
En el presente estudio, las formas de vida terófitas como Lupinus montanus Kunth y L. aschenbornii sobreviven en condiciones desfavorables en forma de semillas; estas especies brotan o germinan cuando las condiciones ambientales son más favorables (Parmesan, 2006). Los efectos del aumento de las temperaturas sobre la supervivencia de distintas especies, incluidas las asociadas a Pinus hartwegii son importantes para comprender y evaluar la posible respuesta de las especies a los cambios del clima (Ramírez-Contreras y Rodríguez-Trejo, 2009).
Las herbáceas, en particular, han desarrollado adaptaciones que les permiten germinar, establecerse y crecer en suelos poco profundos con escasos nutrientes y a temperaturas bajo cero (Kozlowski y Pallardy, 2002; Körner et al., 2021). Estas formas de vida también son capaces de modificar los micrositios donde se establecen (Badano et al., 2015), lo que favorece directa o indirectamente el establecimiento de otras formas de vida (Brooker et al., 2008; Anthelme et al., 2014). Las plantas herbáceas pueden crear micrositios viables para otras especies y facilitar el proceso de colonización de formas de vida más complejas como Pinus hartwegii (Ramírez-Contreras y Rodríguez-Trejo, 2009). Por ello, la proporción de formas de vida a lo largo de un ecotono puede modificar potencialmente la estructura de un ecosistema y sus procesos (Badano et al., 2015; Körner, 2017) e influir en la migración altitudinal de las especies (Aitken et al., 2008).
La densidad y diversidad de formas de vida vegetal observadas en nuestro estudio dentro del ecotono arbóreo de Pinus hartwegii del Nevado de Toluca evidencian la forma difusa de este ecotono. Este ecotono se caracteriza por una reducción gradual de la densidad de los árboles y un aumento gradual de las plantas de dimensiones más pequeñas, como las herbáceas y las gramíneas (Harsch y Bader, 2011; Alfaro-Ramírez et al., 2017). Los ecotonos difusos son los más comunes en todo el mundo (Harsch y Bader, 2011), y se ha reportado una frecuente variación altitudinal en estos ecotonos (Bader et al., 2007), lo que sugieren un incremento de las relaciones de facilitación entre especies herbáceas y forestales (Callaway et al., 2002; Brooker et al., 2008; Badano et al., 2015), así como cambios en la composición y proporción de formas de vida en el gradiente altitudinal (Callaway, 2007; Arzac et al., 2011).
Las formas de vida caméfitas predominan a lo largo del ecotono arbóreo del Nevado de Toluca; pueden conservar sus yemas bajo una capa de hojas secas y emerger más rápidamente en condiciones climáticas más convenientes (Kozlowski y Pallardy, 2002) que las plantas en forma de semillas (Parmesan, 2006; Maestre et al., 2009). En la zona de estudio, la mayoría de las especies registradas pertenecen a la familia Asteraceae, que es una forma de vida caméfita.
La diversidad de especies era mayor por encima de la línea forestal en las zonas con cubierta herbácea predominante. Esto se debe, en parte, a la transición entre ecosistemas y a la convergencia de especies en sus límites de distribución que dieron lugar a una elevada riqueza de especies (Cavieres y Badano, 2009; Körner, 2017). Sin embargo, algunas especies como Muhlenbergia hintonii Swallen, M. vaginata Swalleny Agrostis calderoniae Acosta Cast. asociadas con Pinus hartwegii en el núcleo forestal (Calderón de Rzedowski y Rzedowski, 2005), no se encontraron en el ecotono del límite arbóreo. Además, algunas especies abundantes en la parte baja del ecotono, como Festuca tolucensis y Trisetum spicatum, también se ubicaron a mayor altitud, aunque a medida que aumentaba ésta disminuían su abundancia y su cobertura.
En cambio, la abundancia de otras especies, como Calamagrostis tolucensis y Gnaphalium sarmentosum, fue menor a baja altitud, pero aumentó a mayor altitud. Así, a medida que aumenta la altitud, también aumenta la cobertura de especies pequeñas y resistentes al frío, entre las que se cuentan varias gramíneas de racimo (Calderón de Rzedowski y Rzedowski, 2005; Arzac et al., 2011). De igual manera, la diversidad de plantas en cojín, como Arenaria bryoides, aumenta con la altitud, así como las que forman rosetas, como Gnaphalium sarmentosum e Hieracium dysonymum S. F. Blake (plantas caméfitas). Estas formas vegetales están adaptadas a condiciones ambientales como temperaturas extremadamente bajas y vientos intensos, frecuentes a gran altitud (Körner, 2017; Körner et al., 2021).
En el presente estudio, el grupo dominante de caméfitos puede regular las condiciones del micrositio (Cavieres y Badano, 2009; Heslop-Harrison, 2017; dos Santos et al., 2022) y posiblemente facilite el establecimiento de otros grupos, y compensar así los efectos negativos de las condiciones ambientales extremas (Brooker et al., 2008; Cavieres y Badano, 2009). A medida que cambia el clima, los caméfitos que tienen una relación facilitadora con especies forestales como Pinus hartwegii podrían permitir que estas especies se establecieran a altitudes cada vez mayores (Maestre et al., 2009; Ramírez-Contreras y Rodríguez-Trejo, 2009). Aun así, las migraciones altitudinales son extremadamente complejas y dependen de numerosos factores que también podrían limitar potencialmente la capacidad de Pinus hartwegii para colonizar nuevos lugares a mayor altitud. Esta relación es evidencia de que existen especies y formas de vida particulares que pueden favorecer el proceso de colonización de Pinus hartwegii en nuevos sitios y a mayores altitudes en el Nevado de Toluca, especialmente dado el clima cambiante.
Conclusiones
La diversidad y distribución de las formas de vida a lo largo de los ecotonos arbóreos alpinos influyen en la capacidad de las especies presentes en estos entornos para reaccionar ante las cambiantes condiciones ambientales. Los ecotonos con una estructura difusa son los más abundantes en todo el mundo, como el del arbolado de Pinus hartwegii en el Nevado de Toluca. El avance y retroceso altitudinal de las plantas se registra con frecuencia en estos ecotonos difusos, lo que favorece el aumento de la diversidad de formas de vida en esta zona de transición. En el presente estudio se identificó un patrón consistente en las formas de vida que acompañan a Pinus hartwegii a lo largo de su gradiente de altitud. Conforme aumenta la altitud, la abundancia de especies forestales a lo largo del gradiente altitudinal se reduce, y P. hartwegii está cada vez más acompañado por pastos de alta montaña, lo que indica una posible relación entre formas de vida, aunque no necesariamente entre especies. Sin embargo, se observan importantes relaciones entre Lupinus montanus, Calamagrostis tolucensis, Festuca tolucensis y Arenaria bryoides, tienen una importante relación con la presencia de Pinus hartwegii. Si se considera el clima cambiante del centro de México, Pinus hartwegii podría beneficiarse por ciertas formas de vida como los caméfitos, que favorecen su establecimiento a altitudes cada vez mayores. Los resultados de este trabajo muestran una estrecha relación entre caméfitos y terófitos en el ecotono arbóreo de Pinus hartwegii, por lo que sería valioso evaluar más a fondo la interacción entre dichas formas de vida.
Agradecimientos
Los autores agradecen al Consejo Nacional de Ciencia y Tecnología (Conacyt) el financiamiento otorgado para realizar el presente estudio de investigación (Proyecto de Ciencias Básicas núm. 219696). Los autores agradecen también a la Comisión Estatal de Parques Naturales y de la Fauna (Cepanaf) por haber autorizado la ejecución de este estudio dentro del Área de Protección de Flora y Fauna Nevado de Toluca.
Conflicto de interés
Los autores declaran no tener ningún conflicto de interés.
Contribución por autor
Marlín Pérez-Suárez, Farid Uriel Alfaro-Ramírez, Jorge Enrique Ramírez-Albores y Francisca Ofelia Plascencia-Escalante: concibieron y diseñaron el estudio; Farid Uriel Alfaro-Ramírez y Jorge Enrique Ramírez-Albores: recolecta de datos. Todos los autores analizaron los datos, redactaron y revisaron el manuscrito y aportaron sugerencias para el mismo.
Referencias
Aitken, S. N., S. Yeaman, J. A. Holliday, T. Wang and S. Curtis-McLane. 2008. Adaptation, migration or extirpation: climate change outcomes for tree populations. Evolutionary Applications 1(1):95-111. Doi: 10.1111/j.1752-4571.2007.00013.x.
Alberto, F. J., S. N. Aitken, R. Alía, S. C. González-Martínez, … and O. Savolainen. 2013. Potential for evolutionary responses to climate change-evidence from tree populations. Global Change Biology 19(6):1645-1661. Doi: 10.1111/gcb.12181.
Alfaro-Ramírez, F. U., J. E. Ramírez-Albores, J. J. Vargas-Hernández, S. Franco-Maass and M. Pérez-Suárez. 2020. Potential reduction of Hartweg´s Pine (Pinus hartwegii Lindl.) geographic distribution. PloS ONE 15(2):1-18. Doi: 10.1371/journal.pone.0229178.
Alfaro-Ramírez, F. U., J. T. Arredondo-Moreno, M. Pérez-Suárez and Á. R. Endara-Agramont. 2017. Pinus hartwegii Lindl. treeline ecotone: structure and altitudinal limits at Nevado de Toluca, Mexico. Revista Chapingo Serie de Ciencias Forestales y del Ambiente 23(2):261-273. Doi: 10.5154/r.rchscfa.2016.10.055.
Anthelme, F., L. A. Cavieres and O. Dangles. 2014. Facilitation among plants in alpine environments in the face of climate change. Frontiers in Plant Science 5:387. Doi: 10.3389/fpls.2014.00387.
Arriaga, L. y L. Gómez. 2004. Posibles efectos del cambio climático en algunos componentes de la biodiversidad de México. In: Martínez, J. y A. Fernández (Coord.). Cambio climático: una visión desde México. Instituto Nacional de Ecología (INE) y Secretaría de Medio Ambiente y Recursos Naturales (Semarnat). Coyoacán, México D. F., México. pp. 255-265.
Arzac, A., E. Chacón-Moreno, L. D. Llambí y R. Dulhoste. 2011. Distribución de formas de vida de plantas en el límite superior del ecotono bosque paramo en los Andes tropicales. Ecotrópicos 24(1):26-46. http://www.saber.ula.ve/handle/123456789/35696. (3 de septiembre de 2018).
Badano, E. I., R. O. Bustamante, E. Villarroel, P. A. Marquet and L. A. Cavieres. 2015. Facilitation by nurse plants regulates community invasibility in harsh environments. Journal of Vegetation Science 26(4):756-767. Doi: 10.1111/jvs.12274.
Bader, M. Y., M. Rietkerk and A. K. Bregt. 2007. Vegetation structure and temperature regimes of tropical alpine treelines. Arctic, Antarctic, and Alpine Research 39(3):353-364. Doi: https://doi.org/10.1657/1523-0430(06-055)[BADER]2.0.CO;2.
Brooker, R. W., F. T. Maestre, R. M. Callaway, C. L. Lortie, … and R. Michalet. 2008. Facilitation in plant communities: the past, the present, and the future. Journal of Ecology 96(1):18-34. Doi: 10.1111/j.1365-2745.2007.01295.x.
Buckland, S. T., A. E. Magurran, R. E. Green and R. M. Fewster. 2005. Monitoring change in biodiversity through composite indices. Philosophical Transactions of the Royal Society B 360:243-254. Doi: 10.1098/rstb.2004.1589.
Calderón de Rzedowski, G. y J. Rzedowski. 2005. Flora fanerogámica del Valle de México. Instituto de Ecología, A. C. y Comisión Nacional para el Estudio de la Biodiversidad (Conabio). Pátzcuaro, Mich., México. 1406 p.
Callaway, R. M. 2007. Positive interactions and interdependence in plant communities. Springer. Dordrecht, ZH, Netherlands. 404 p.
Callaway, R. M., R. W. Brooker, P. Choler, Z. Kikvidze, … and B. J. Cook. 2002. Positive interactions among alpine plants increase with stress. Nature 417(6891):844-848. Doi: 10.1038/nature00812.
Camarero, J. J. y M. J. Fortin. 2006. Detección cuantitativa de fronteras ecológicas y ecotonos. Ecosistemas 15(3):76-87. https://www.revistaecosistemas.net/index.php/ecosistemas/article/view/164. (31 de agosto de 2018).
Cavieres, L. A. and E. I. Badano. 2009. Do facilitative interactions increase species richness at the entire community level? Journal of Ecology 97(6):1181-1191. Doi: 10.1111/j.1365-2745.2009.01579.x.
Challenger, A. y J. Soberón. 2008. Los ecosistemas terrestres. In: Sarukhán, J. (Coord.).Capital natural de México, Vol. I: Conocimiento actual de la biodiversidad. Comisión Nacional para el Estudio de la Biodiversidad (Conabio). Tlalpan, México D. F., México. pp. 87-108.
Chao, A., K. H. Ma and T. C. Hsieh. 2022. A brief introduction to iNEXT Online: software for interpolation and extrapolation of species diversity. Institute of Statistics, National Tsing Hua University. http://chao.stat.nthu.ed.tw/wordpress/software-download/inext-online/. (11 de octubre de 2023).
Chao, A., N. J. Gotelli, T. C. Hsieh, E. L. Sander, … and A. M. Ellison. 2014. Rarefaction and extrapolation with Hill numbers: a framework for sampling and estimation in species diversity studies. Ecological monographs 84(1):45-67. Doi: 10.1890/13-0133.1.
Cox, K. D., M. J. Black, N. Filip, M. R. Miller, … and S. E. Dudas. 2017. Community assessment techniques and the implications for rarefaction and extrapolation with Hill numbers. Ecology and Evolution 7(24):11213-11226. Doi: 10.1002/ece3.3580.
dos Santos, P., M. Â. Brilhante, T. F. E. Messerschmid, H. C. Serrano, … and J. de Vos. 2022. Plant growth forms dictate adaptations to the local climate. Frontiers in Plant Science 13:1023595. Doi: 10.3389/fpls.2022.1023595.
Eastman, J. R. 2012. Idrisi Selva. Guía para SIG y procesamiento de imágenes. Manual Versión 17. Clark University. Worcester, MA, Estados Unidos de América. 321 p. https://clarklabs.org/wp-content/uploads/2016/10/IDRISI-Selva-Spanish-Manual.pdf. (14 de septiembre de 2018).
García, E. 1990. Carta de climas. Atlas Nacional de México. Instituto de Geografía de la Universidad Nacional Autónoma de México. Coyoacán, México D. F., México. 116 p.
Harsch, M. A. and M. Y. Bader. 2011. Treeline form-a potential key to understanding treeline dynamics. Global Ecology and Biogeography 20(4):582-596. Doi: 10.1111/j.1466-8238.2010.00622.x.
Heslop-Harrison, J. S. 2017. Morphology, adaptation and speciation. Annals of Botany 120(5):621-624. Doi: 10.1093/aob/mcx130.
Holtmeier, F. K. 2009. Mountain timberlines: Ecology, patchiness, and dynamics (Vol. 36). Springer Dordrecht. Geneva, GE, Switzerland. 438 p.
Kark, S. 2017. Effects of ecotones on biodiversity. In: Reference Module in Life Sciences. Encyclopedia of Biodiversity. Elsevier. Amsterdam, NH, Netherlands. pp. 142-148.
Körner, C. 2017. Alpine ecosystems. In: Reference Module in Life Sciences. Encyclopedia of Biodiversity. Elsevier. Amsterdam, NH, Netherlands. pp. 148-157.
Körner, C. and J. Paulsen. 2004. A world-wide study of high altitude treeline temperatures. Journal of Biogeography 31(5):713-732. Doi: 10.1111/j.1365-2699.2003.01043.x.
Körner, C., D. Urbach and J. Paulsen. 2021. Mountain definitions and their consequences. Alpine Botany131:213–217. Doi: 10.1007/s00035-021-00265-8.
Kozlowski, T. T. and S. G. Pallardy. 2002. Acclimation and adaptive responses of woody plants to environmental stresses. The Botanical Review 68:270-334. Doi: 10.1663/0006-8101(2002)068[0270:AAAROW]2.0.CO;2.
Maestre, F. T., R. M. Callaway, F. Valladares and J. L. Lortie. 2009. Refining the stress-gradient hypothesis for competition and facilitation in plant communities. Journal of Ecology 97(2):199-205. Doi: 10.1111/j.1365-2745.2008.01476.x.
Matteucci, S. D. y A. Colma. 1982. Metodología para el estudio de la vegetación. Secretaría General de la Organización de los Estados Americanos y Programa Regional de Desarrollo Científico y Tecnológico. Washington, DC, Estados Unidos de América. 159 p. https://aulavirtual.agro.unlp.edu.ar/pluginfile.php/76505/mod_resource/content/3/MatteucciColma1982.pdf. (26 de agosto de 2018).
Parmesan, C. 2006. Ecological and evolutionary responses to recent climate change. Annual Review of Ecology Evolution and Systematics 37:637-669. Doi: 10.1146/annurev.ecolsys.37.091305.110100.
Pérez-Suárez, M., J. E. Ramírez-Albores, J. J. Vargas-Hernández and F. U. Alfaro-Ramírez. 2022. A review of the knowledge of Hartweg´s Pine (Pinus hartwegii Lindl.): current situation and the need for improved future projections. Trees 36(1):25-37. Doi: 10.1007/s00468-021-02221-9.
Rahman, M. M. and Z. Govindarajulu. 1997. A modification of the test of Shapiro and Wilk for normality. Journal of Applied Statistics 24(2):219-236. Doi: 10.1080/02664769723828.
Ramírez-Contreras, A. y D. A. Rodríguez-Trejo. 2009. Plantas nodriza en la reforestación con Pinus hartwegii Lindl. Revista Chapingo Serie Ciencias Forestales y del Ambiente 15(1):43-48. https://www.scielo.org.mx/pdf/rcscfa/v15n1/v15n1a5.pdf. (13 de septiembre de 2022).
Raunkiaer, C. 1934. The life forms of plants and statistical plant geography. Oxford at the Clarendon Press. Oxford, OX, United Kingdom. 632 p.
Richardson, A. D. and A. J. Friedland. 2009. A review of the theories to explain arctic and alpine treelines around the world. Journal of Sustainable Forestry 28(1-2):218-242. Doi: 10.1080/10549810802626456.
SAS. 2008. JMP Statistical Discovery (Version 8.0). Cary, NC, United States of America. SAS Institute Inc. http://www.jmp.com/es/. (14 de septiembre de 2022).
Treml, V. and T. Chuman. 2015. Ecotonal dynamics of the altitudinal forest limit are affected by terrain and vegetation structure variables: An example from the Sudetes Mountains in central Europe. Artic, Antarctic, and Alpine Research 47(1): 133-146. Doi: 10.1657/AAAR0013-108.
Vargas M., F. 1984. Parques Nacionales de México y Reservas Equivalentes. Pasado, presente y futuro. Instituto de Investigaciones Económicas de la Universidad Nacional Autónoma de México. Coyoacán, México D. F., México. 266 p.
Wielgolaski, F. E., K. Laine, J. Inkeröinen and O. Skre. 2017. Enhancing the resilience capacity of sensitive mountain forest ecosystems under environmental change (SENSFOR). Climate Research 73(1-2):3-6. Doi: 10.3354/cr01482.
Zar, J. H. 1998. Biostatistical analysis. Pearson College. New Jersey, NJ, United States of America. 663 p.
Todos los textos publicados por la Revista Mexicana de Ciencias Forestales –sin excepción– se distribuyen amparados bajo la licencia Creative Commons 4.0 Atribución-No Comercial (CC BY-NC 4.0 Internacional), que permite a terceros utilizar lo publicado siempre que mencionen la autoría del trabajo y a la primera publicación en esta revista.