Revista Mexicana de Ciencias Forestales Vol. 16 (92)

Noviembre - Diciembre (2025)

Logotipo, nombre de la empresa

Descripción generada automáticamente

DOI: https://doi.org/10.29298/rmcf.v16i92.1524

Artículo de revisión

 

Pérdidas de ecosistemas forestales en la Reserva de la Biosfera Mariposa Monarca (1994-2023)

Loss of forest ecosystems in the Monarch Butterfly Biosphere Reserve (1994-2023)

 

Alondra Lizbeth Palacios-Carrillo1, Rufino Sandoval-García2*, Celestino Flores-López2, Jorge Méndez-Gónzalez2

 

Fecha de recepción/Reception date: 29 de octubre de 2024.

Fecha de aceptación/Acceptance date: 22 de agosto de 2025.

_______________________________

1Ingeniería Forestal, Universidad Autónoma Agraria Antonio Narro. México

2Departamento Forestal, Universidad Autónoma Agraria Antonio Narro. México

 

*Autor por correspondencia; correo-e: rufino.sandoval.garcia@gmail.com

*Corresponding author; email: rufino.sandoval.garcia@gmail.com

 

Resumen

La Reserva de la Biosfera Mariposa Monarca (RBMM) es un área clave para la hibernación de la mariposa monarca (Danaus plexippus), ya que es un lugar fundamental en su ciclo migratorio y reproductivo. Sin embargo, este ecosistema enfrenta amenazas significativas debido al aumento de actividades antropogénicas y los efectos del cambio climático; situaciones que ponen en riesgo tanto la permanencia de la especie en México, como la biodiversidad de la reserva. El presente estudio tuvo como objetivo evaluar la pérdida de ecosistemas forestales en la RBMM durante el periodo 1994-2023, mediante un análisis multitemporal de imágenes satelitales de alta resolución. Los resultados revelaron que para el año 2023, en la RBMM se habían perdido 6 389 ha de cobertura forestal; las reducciones por tipo de vegetación fueron de 87 % para el bosque de encino, 69 % en el bosque de pino y 42 % para el bosque mesófilo de montaña, lo anterior en comparación con su extensión en 1994. Estos hallazgos evidencian una disminución preocupante de la cobertura forestal, que compromete la integridad del hábitat de la mariposa monarca, y denota la necesidad de implementar estrategias efectivas de conservación.

Palabras clave: Análisis multitemporal, bosque de oyamel, conservación, Danaus plexippus L., tala ilegal, servicios ambientales.

Abstract

The Monarch Butterfly Biosphere Reserve (known as RBMM by its Spanish acronym) is a key area for the hibernation of the monarch butterfly (Danaus plexippus), as it plays a significant role in its migratory and reproductive cycle. However, this ecosystem faces substantial threats due to increased anthropogenic activities and the effects of climate change situations that jeopardize both the species' continued existence in Mexico and the reserve's biodiversity. The objective of this study was to evaluate the loss of forest ecosystems in the RBMM during the 1994-2023 period, using a multitemporal analysis of high-resolution satellite images. The results revealed that 6 389 ha of forest cover had been lost in the RBMM by 2023; reductions by vegetation type were 87 % for oak forest, 69 % for pine forest, and 42 % for mesophilic mountain forest, compared to their extent in 1994. These findings show a worrying decline in forest cover, which compromises the integrity of the monarch butterfly's habitat and highlights the need to implement effective conservation strategies.

Keywords: Multitemporal analysis, sacred fir forest, conservation, Danaus plexippus L., illegal logging, environmental services.

 

 

Introducción

 

 

La Reserva de la Biosfera Mariposa Monarca (RBMM) es un área natural protegida considerada de suma importancia para México, Estados Unidos de América y Canadá, debido a que alberga a más 432 especies de plantas vasculares, 211 taxa de hongos, 256 de aves, 56 de mamíferos, 76 de insectos, 30 de reptiles y 18 de anfibios (Comisión Nacional para el Conocimiento y Uso de la Biodiversidad [Conabio], 2024); además de ser la principal zona de hibernación y reproducción de la mariposa Monarca (Danaus plexippus L.) (Belsky & Joshi, 2018).

Para promover la conservación de los recursos forestales, los ejidos agrarios y comunidades indígenas asentadas en la RBMM reciben apoyos para financiar la realización de proyectos de desarrollo sustentable, las cuales son organizaciones no gubernamentales (ONG) nacionales e internacionales, gobierno federal y estatal (López-García, 2011). Adicionalmente, son beneficiarios del Programa de Pago de Servicios Ambientales Hidrológicos de la Comisión Nacional Forestal (Conafor), en reconocimiento a que sus bosques abastecen de agua dulce al Sistema Hidrológico Cutzamala (Vidal et al., 2014). No obstante, a pesar de los esfuerzos para la conservación de la RBMM, continúa la afectación de sus ecosistemas por el cambio de uso del suelo, incendios, plagas y enfermedades, sequía y tala ilegal que afectan directamente el hábitat de la mariposa Monarca (López-García et al., 2022).

A lo largo del tiempo se han realizado diversos estudios para determinar el cambio en la cobertura forestal de la RBMM, entre los que destacan el de López-García (2011), quien evaluó la pérdida y degradación de los bosques de la reserva durante el periodo 2003 al 2009 mediante fotointerpretación de imágenes aéreas e imágenes del satélite SPOT; en el periodo 2006 al 2010, Champo-Jiménez et al. (2012) y Vidal et al. (2014) analizaron la zona núcleo de 2001 al 2012 con imágenes aéreas e imágenes de los satélites Landsat y SPOT;su evaluación de 2012 a 2018 con ortofotos e imágenes del satelite Quickbird (Flores-Martínez et al., 2019); y el estudio de López-García et al. (2022) en la RBMM y bosques aledaños, en el periodo 1994-2017 mediante ortofotos e imágenes del satélite SPOT.

Las herramientas de teledetección representan una alternativa eficiente para el análisis de grandes extensiones de territorio y la identificación de cambios en el uso del suelo a lo largo del tiempo (Guillén et al., 2015). Su aplicación permite acceder a zonas de difícil acceso, obtener datos multiespectrales y realizar estudios comparativos en diferentes periodos, lo que facilita la evaluación de la dinámica de los ecosistemas (Hernández-Lozano & Pavón, 2024).

No obstante, su uso enfrenta desafíos, como la influencia de factores atmosféricos en la calidad de las imágenes, el alto costo de aquellas con mayor resolución y la necesidad de software y conocimientos especializados para su procesamiento e interpretación (Hernández-Lozano & Pavón, 2024). A pesar de estas limitaciones, se utilizan imágenes de alta resolución para la obtención de una imagen con mejor definición, que proporcione información precisa y actualizada para respaldar la toma de decisiones en el manejo sostenible de los recursos naturales (Zavala & Zavala, 2002).

Los estudios realizados se han llevado a cabo con imágenes consideradas de resolución media (Borotkanych, 2024); por lo tanto, presentan una serie de limitantes que generan un margen de clasificación con errores de 10 a 20 % (Astola et al., 2019; Sandoval-García et al., 2021a, 2021b), por tal motivo es importante analizar la RBMM con imágenes de alta resolución para tener una precisión detallada, en términos cuantitativos, para tener un mejor panorama de la situación que enfrenta la reserva, y así proponer estrategias efectivas para la conservación y restauración de sus ecosistemas forestales.

El objetivo de la presente investigación fue evaluar la pérdida de cobertura de los ecosistemas forestales en la RBMM, mediante un análisis multitemporal con imágenes satelitales de alta resolución, para los periodos 1994-2008, 2008-2014, 2014-2023 y un periodo general de 1994-2023. La hipótesis planteada fue que la Reserva ha perdido más de 50 % de su superficie forestal entre 1994 y 2023, de acuerdo con los escenarios predichos de cambio, y que se afecte significativamente el hábitat de hibernación de la mariposa Monarca.

 

 

Materiales y Métodos

 

 

 

La Reserva de la Biosfera Mariposa Monarca se ubica en la región central de México, incluye parte de los estados de Michoacán y el Estado de México, específicamente, al este de Michoacán y el oeste del Estado de México (Figura 1), cubre una superficie de 56 259 ha, distribuidas en una zona núcleo de 13 551 ha y una zona de amortiguamiento de 42 708 ha (Comisión Nacional de Áreas Naturales Protegidas [Conanp], 2001). Esta reserva es reconocida por ser el lugar de hibernación de Danaus plexippus, especie migratoria que viaja desde Canadá y Estados Unidos de América, hasta los bosques templados de México.

 

W = Oeste.

Figura 1. Localización de la Reserva de la Biosfera Mariposa Monarca.

 

La RBMM alberga ecosistemas de alta relevancia ecológica, dominados principalmente por bosques de oyamel, pino, encino-pino, pino-encino y mesófilo de montaña (Conanp, 2001). Los suelos predominantes en la reserva son de origen volcánico, destacan: Andosol ócrico (To), Acrisol húmico (Ah), Acrisol órtico (Ao), Andosol húmico (Th), Litosol (L) y Litosol crómico (Lc); la altitud varía entre 2 027 y 3 640 m (Instituto Nacional de Estadística y Geografía [Inegi], 2018).

El clima en la Reserva es templado subhúmedo [C(w1), C(w2)] y semifrío subhúmedo [Cb'(w2)] (Inegi, 2018); la precipitación oscila entre 766 y 1 168 mm anuales y la temperatura promedio anual es de 9 a 18 °C (Cuervo-Robayo et al., 2014).

 

 

Adquisición de imágenes

 

 

Las ortofotos se obtuvieron de 2 m pixel de la plataforma Espacios y Datos de México (Instituto Nacional de Estadística, Geografía e Informática [INEGI], 1994, 2005), las cuales son imágenes aéreas corregidas geométricamente para representar una proyección ortogonal de la superficie terrestre, permiten mediciones precisas de distancias y áreas (García-Nieto & Martínez-León, 2007).Posteriormente, las imágenes satelitales de alta resolución: Airbus Defence and Space de 0.57 m pixel (EoPortal, 2023), que tienen una precisión de hasta 0.5 m por pixel, capturadas por su constelación de satélites Pléiades, presentan un alto nivel de detalle, por lo que proporcionan una cobertura global con una capacidad de revisita diaria, que permite monitorear cambios en el terreno con gran frecuencia; GeoEye-1 de 0.28 m pixel y Birdseye de 0.28 m pixel obtenidas del software SASPlanet (SASGIS, 2024), ambas tienen una resolución espacial de 0.28 m por pixel, este software es una de las fuentes de datos satelitales más detalladas (Cuadro 1), tiene una alta precisión geolocalizadora y su capacidad de revisita frecuente son de código abierto y permite realizar la visualización y descarga de las imágenes (GeoSoluciones, Soluciones Integrales en Geomática e Ingeniería Geoespacial, 2016)

 

Cuadro 1. Clasificación de imágenes.

Tipo de imagen

Ortofotos

Airbus Defence and Space

GeoEye-1

Birdseye

Fecha de la toma de datos

05/02/2024

05/02/2024

10/02/2024

12/02/2024

Disponibilidad

Gratuita

Gratuita

Gratuita

Gratuita

Estéreo

Si

Si

Si

Si

Tamaño de resolución

2 m pixel

0.57 m pixel

0.28 m pixel

0.28 m pixel

Resolución espectral

3 bandas RGB

Multiespectral (4 bandas)

Multiespectral (4 bandas)

Multiespectral (4 bandas)

Radiometría

8 bits

12 bits

11 bits

11 bits

Color

Blanco, grises

Azul, verde, rojo, infrarrojo cercano, panorámico

Rojo, verde, azul, infrarrojo y pancromático

Rojo, verde, azul, grises/blancos y tonos terrenosos

 

 

Preprocesamiento de imágenes

 

 

Las imágenes satelitales se prepararon para su procesamiento y utilización en el análisis mediante el software SASPlanet (SASGIS, 2024), se realizó una corrección geométrica utilizando la técnica de convolución cúbica que considera los niveles digitales (ND) de los 16 pixeles más próximos, y tiene como característica fundamental el mejorar visualmente los elementos geométricos (lineales) de una imagen; para ello se usaron 60 puntos de control identificables que se consideraron como críticos, con alto grado de confusión por la reflectancia de las imágenes, la exposición, el ruido, la nubosidad, y elementos geométricos de clara identificación entre las imágenes por trabajar, para así darles una corrección radiométrica del sensor con la proyección WGS84 Zona 14 N; este tipo de ajuste se realiza especialmente para acoplar dos o más imágenes de geometría semejante que abarca el mismo sitio geográfico, de esta manera se hace que coincidan los elementos gráficos de las imágenes para no tener resultados erróneos (Zavala & Zavala, 2002).

 

 

Clasificación digital

 

 

La detección de cambios se hizo con el software Quantum GIS versión 3.36.0 “Maidenhead” de código abierto (QGIS Development Team, 2024); se realizó la corrección atmosférica a las imágenes de cada periodo, recortándolas y sometiéndolas a un proceso de clasificación no supervisado con el módulo K-means Cluster Analysis, que agrupa los valores de celda en clases con el método de análisis de conglomerados de datos multivariados (Jumb et al., 2014). Posteriormente, se realizó la codificación de las imágenes con el método de clasificación supervisada a partir de la generación de cuatro ortomosaicos, compuestos por 13 ortofotos de 2 m pixel, 19 imágenes de Airbus Defence and Space de 0.57 m pixel, 18 imágenes de GeoEye-1 de 0.28 m pixel y 18 imágenes Birdseye 0.28 m pixel; cada ortomosaico se clasificó con su propia resolución, no se ajustó el tamaño de pixel porque las imágenes de una resolución de 5 m pixel se consideran de alta resolución; por lo tanto, el margen de error es aceptable (Sandoval-García et al., 2021a, 2021b). Finalmente, se ejecutó la conversión de los archivos de formato ráster a vectorial, para una clasificación supervisada (Sandoval-García et al., 2021a, 2021b); es decir, se identificaron las categorías de la vegetación, áreas construidas y caminos, y se dejaron solo las de interés (agricultura, forestal y pastizal).

Se generó información relacionada con la vegetación presente y al realizar la intersección entre la clasificación de la carta vectorial de Uso de Suelo y Vegetación de la Serie VII de Inegi (2018), se obtuvieron los siguientes tipos de vegetación (ecosistemas): bosque de encino, bosque de oyamel, bosque de pino, bosque de pino-encino, bosque mesófilo de montaña, pastizal, vegetación secundaria y agricultura.

 

 

Validación de la clasificación supervisada

 

 

La concordancia y precisión de los resultados en la clasificación de las imágenes satelitales de alta resolución, se determinó utilizando el módulo r.kappa del software GRASS 7.6.0 (QGIS Development Team, 2024). Esta es una medida estadística que permite evaluar el grado de concordancia entre dos clasificadores al categorizar datos, es especialmente útil cuando las categorías no tienen un orden inherente y se busca determinar si los evaluadores están de acuerdo más allá de lo que se esperaría por azar, dicho proceso genera una matriz de error, obteniendo el resultado promedio, mediante la Ecuación 1 (Quezada et al., 2022):

Donde:

K = Índice kappa

Po = Concordancia observada

Pe = Concordancia esperada por azar

1–Pe = Máxima concordancia potencial no correspondida a la casualidad

 

Para interpretar los valores del Índice Kappa, se consideraron como referencia los niveles sugeridos por Landis y Koch (1977), los cuales indican que un valor <0.00 no tiene ninguna concordancia, 0.00-0.20 leve, 0.21–0.60 pobre, 0.41–0.60 moderado, 0.61-0.80 sustancial y de 0.81-1.00 adecuada

 

Análisis multitemporal

 

 

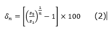
Para calcular los cambios (aumento o pérdida) de cobertura forestal, se generó una tabulación cruzada considerando cuatro periodos, a partir de la disponibilidad de imágenes satelitales: 1994-2008, 2008-2014, 2014-2023 y un análisis general de todo el periodo 1994-2023. La tasa de cambio se determinó con la Ecuación 2 desarrollada por la Food and Agriculture Organization (FAO, 1996) y adaptada por Palacio-Prieto et al. (2004):

Donde:

δn = Tasa de cambio expresada en porcentaje

s1 = Superficie de la fecha 1 expresada en hectáreas (ha)

s2 = Superficie de la fecha 2 (ha)

n = Número de años entre las dos fechas

 

 

Tasa de deforestación anual

 

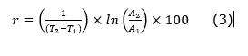
Los cambios en la cobertura del suelo se identificaron mediante la intersección del conjunto de capas, uso de suelo y vegetación y cobertura forestal disponible en cada periodo 1994-2008, 2008-2014, 2014-2023 y 1994-2023, con ello se crearon nuevas capas que indicaron la transición existente entre los periodos de estudio; asimismo, se realizó un proceso de homogeneización de clases de uso del suelo y vegetación (USV), en el cual se agruparon categorías similares bajo una misma clase general. Por ejemplo, las categorías de pastizales fueron integradas en la clase unificada de “Pastizal”. Este procedimiento se aplicó de forma sistemática en otras categorías como agricultura y bosque, en función de su similitud estructural y funcional. A partir de esos datos, se calculó la tasa de deforestación anual mediante la Ecuación 3, propuesta por Puyravaud (2003), que compara las superficies de cobertura de un mismo sitio en distintos periodos temporales.

Donde:

r = Tasa de deforestación anual

T1 = Periodo inicial

T2 = Periodo final

A1 = Cobertura vegetal en el tiempo inicial

A2 = Cobertura vegetal en el tiempo final

 

Un valor “r” positivo indica aumento de la cobertura vegetal, mientras que un valor negativo demuestra una pérdida de cobertura (FAO, 1996)

 

Resultados y Discusión

 

El valor promedio del Índice Kappa fue de 0.82 que, de acuerdo con Landis y Koch (1977), indica que las correcciones geométricas entre las imágenes fueron adecuadas, garantizando un alto grado de similitud al replicar el estudio.

La RBMM en el periodo general hasta el 2023 comprendió una superficie de 56 259 ha. En términos de cobertura, se estimó que 64 % del área estuvo ocupada por vegetación forestal, 22 % por vegetación secundaria, 13 % por superficies agrícolas y 1 % correspondió a caminos, asentamientos humanos y cuerpos de agua. Los ecosistemas predominantes en la zona incluyeron bosque de oyamel (Abies religiosa (Kunth) Schltdl. & Cham.), bosque mixto de pino-encino y el bosque de encino-pino, los cuales representaron las comunidades vegetales con mayor extensión dentro de la Reserva (Figura 2).

 

 

A = 1994; B = 2008; C = 2014; D = 2023. W = Oeste.

Figura 2. Cobertura forestal de la RBMM en los años del estudio

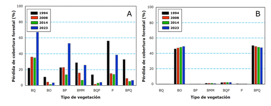
A nivel ecosistema, en términos relativos, la mayor pérdida de cobertura forestal evidenció una pérdida progresiva entre 1994 y 2023, la más crítica se presentó en los bosques de encino (BQ), pastizales (P) y bosques de pino (BP), donde las pérdidas registraron valores de 49 a 69 % más altos. Ello indica un fuerte proceso de degradación y fragmentación de los ecosistemas (Figura 3A). En contraste, la gráfica B muestra un escenario más estable a nivel cobertura de la Reserva, con pérdidas constantes menores a 50 % en bosques de oyamel (BO) y pino-Quercus L. (BPQ), y mínimas en otros tipos de vegetación (Figura 3B)

 

 

A = A nivel ecosistema; B = A nivel cobertura de la Reserva. BQ = Bosque de encino; BO = Bosque de oyamel; BP = Bosque de pino; BMM = Bosque mesófilo de montaña; BQP = Bosque de encino-pino; P = Pastizal; BPQ = Bosque de pino-encino.

Figura 3. Pérdida de cobertura forestal.

 

El análisis de la dinámica de la cobertura forestal entre 1994 y 2023 reveló una fuerte reducción en diversos ecosistemas dentro del área de estudio. El bosque de encino registró la mayor pérdida relativa, con una disminución de 86.68 % (63.57 ha), lo que representó una alarmante degradación de este tipo de vegetación. Le siguió el bosque de pino con una reducción de 68.8 % de su cobertura original (13.4 ha), y el bosque mesófilo de montaña con una de 41.93 % (203.6 ha), todos ellos mostraron una tendencia clara de retracción (Cuadro 2).

Cuadro 2. Cobertura de los ecosistemas forestales de la RBMM.

Vegetación

Inicial

1994

2008

2014

2023

1994-2023

(ha)

(%)

(ha)

(%)

(ha)

(%)

(ha)

(%)

(ha)

(%)

BQ

94.25

20.91

22.18

26.39

35.99

16.49

35.12

20.69

67.93

68.57

86.68

BO

21 735.96

2 370.13

10.90

867.52

4.48

267.52

1.45

637.00

3.49

1 772.03

9.15

BP

25.06

5.67

22.61

4.42

22.79

2.05

13.72

6.87

53.19

13.35

68.82

BMM

683.48

197.85

28.95

77.17

15.89

28.02

6.86

98.44

25.88

203.6

41.93

BQP

1 026.76

141.43

13.77

15.61

1.76

27.18

3.13

34.47

4.09

77.26

8.73

P

398.49

224.04

56.22

26.54

15.21

20.83

14.08

48.93

38.50

96.29

55.20

BPQ

31 551.49

10 377.49

32.89

1 896.81

8.96

1 040.74

5.40

1 225.46

6.72

44 163.01

19.66

BQ = Bosque de encino; BO = Bosque de oyamel; BP = Bosque de pino; BMM = Bosque mesófilo de montaña; BQP = Bosque de encino-pino; P = Pastizal; BPQ = Bosque de pino-encino.

 

En contraste, el bosque de oyamel (BO), aunque experimentó una pérdida en superficie absoluta de 1 772.03 ha, tuvo una disminución porcentual menor (9.15 %), lo cual puede asociarse a su mayor extensión inicial. Por su parte, el bosque de pino-encino (BQP), pese a una pérdida de 4 416.01 ha, tuvo una reducción relativa de 11.39 %, lo cual sugiere que, aunque fue impactado, aun conservó todavía una proporción significativa de su cobertura original.

Los pastizales (P) disminuyeron 25.00 % (56.29 ha), valor que posiblemente reflejó procesos de conversión hacia otros usos o de sucesión secundaria.

La tasa de cambio positiva en la vegetación secundaria refleja un proceso de recuperación de áreas afectadas, probablemente, por disturbios como incendios, plagas y tala ilegal o algún evento meteorológico. Este patrón fue particularmente notable en el bosque de encino durante los periodos 2008-2014 y 1994-2023, con incrementos de 6.7 % y 4.9 %, respectivamente. Asimismo, el bosque de pino presentó una recuperación significativa entre 2014-2023, con un aumento de 5.21 % en la cobertura de vegetación secundaria.

No obstante, este aumento también podría interpretarse como un indicador de degradación forestal, ya que la proliferación de vegetación secundaria suele ocurrir tras la pérdida de la cobertura primaria, lo que favorecería su posterior conversión a usos agrícolas; ello evidencia una transición progresiva del paisaje hacia estados menos conservados.

En 1994 y 2023, los ecosistemas forestales de la RBMM tuvieron una transformación significativa, principalmente el bosque de pino-encino (BPQ) fue el más afectado, con una pérdida total de 8 643.17 ha, seguido del bosque de oyamel (BO) con 3 283.30 ha. La mayor conversión ocurrió hacia el uso agrícola, especialmente en los periodos 2014-2023 y 2023-1994, lo cual evidenció una intensificación reciente del cambio de uso de suelo. Estos datos reflejan una presión creciente sobre los bosques, particularmente sobre hábitats clave para la mariposa Monarca (Cuadro 3).

 

Cuadro 3. Cambio en los ecosistemas forestales de la RBMM.

Vegetación

1994-2008

2008-2014

2014-2023

2023-1994

A

Vs

A

Vs

A

Vs

A

Vs

BQ

3.69

17.22

16.69

30.61

18.93

44.86

19.81

64.67

BO

293.10

2 077.04

538.27

2 699.38

741.92

2 763.24

858.86

3 283.30

BP

2.17

3.50

4.96

5.13

6.06

6.08

9.30

9.72

BMM

11.95

185.90

14.81

260.22

26.61

276.43

37.01

364.48

BQP

11.11

130.32

13.14

143.90

20.13

164.10

35.03

183.66

P

148.41

75.63

152.27

98.31

168.54

102.87

200.22

120.12

BPQ

4 242.72

6 134.77

4 834.83

7 439.48

5 314.55

8 000.49

5 897.32

8 643.17

Total

4 713.14

8 624.38

5 574.96

10 677.02

6 296.75

11 358.06

7 057.56

12 669.11

A = Agricultura; Vs = Vegetación secundaria; BQ = Bosque de encino; BO = Bosque de oyamel; BP = Bosque de pino; BMM = Bosque mesófilo de montaña; BQP = Bosque de encino-pino; P = Pastizal; BPQ = Bosque de pino-encino.

 Unas de las causas de la pérdida de cobertura forestal en la Reserva es la tala ilegal que ha ocasionado pérdidas de 2 179 ha de bosque, en la zona núcleo con 1 254 ha deforestadas y 925 degradadas (Vidal et al., 2014); por otra parte, se estima que los incendios forestales han provocado en la última década una disminución de alrededor de 7 928 ha en el total de la Reserva (Conanp, 2001).

La dinámica de cambio del uso del suelo y vegetación en la RBMM continúa a un ritmo acelerado; sin embargo, gracias a los diferentes esquemas de conservación y restauración implementados, como las reforestaciones, se ha logrado mantener por debajo de los máximos registrados en los periodos de 2003 al 2010 (Cuadro 4).

Cuadro 4. Comparativo de pérdida de cobertura forestal en la RBMM.

Autor y año

Periodo de evaluación

Total (ha)

Anual (ha)

López-García (2011)

2003-2009

2 152

359

Champo-Jiménez et al. (2012)

2006-2010

2 227

557

Vidal et al. (2014)

2001-2012

2 179

198

Flores-Martínez et al. (2019)

2012-2018

163

27

López-García et al. (2022)

1994-2017

4 009

174

Presente estudio (2024)

1994-2023

6 389

220

 

Los datos obtenidos permiten rechazar la hipótesis que planteaba una disminución superior a 50 % en la superficie forestal entre 1994 y 2023, según los escenarios predichos de cambio; sin embargo, estos hallazgos difieren de lo citado por Sáenz-Romero et al. (2012), quienes, a través de modelos bioclimáticos, proyectaron la presencia o ausencia de Abies religiosa bajo escenarios de cambio climático, con una reducción estimada en su distribución de 69.2 % para el año 2030 en la RBMM. En contraste, el presente análisis multitemporal mostró que la pérdida de cobertura del bosque de oyamel fue de apenas 9.2 % en el año 2023, respecto a 1994 (un periodo de 29 años). Esta diferencia puede atribuirse, en gran medida, a los esfuerzos sostenidos de conservación y restauración implementados en la región (Honey-Rosés, 2009).

El presente análisis multitemporal indica un proceso de degradación de la cobertura forestal original a nivel ecosistema y el uso de suelo en la RBMM, principalmente, en ecosistemas como el bosque de encino, bosque de pino y bosque mesófilo de montaña que han perdido 87, 69 y 42 %, respecto a la superficie que ocupaban en 1994; lo anterior se debe a la tala ilegal, expansión de la agricultura, incendios forestales, aumento de plagas y enfermedades como consecuencia de las variaciones climáticas, así como al cambio de uso del suelo para el establecimiento de aguacatales (López-García et al., 2022).

Los incendios forestales en la Reserva tienen su origen en las quemas para actividades agrícolas y pecuarias, líneas de transmisión eléctrica, fogatas, fumadores, conflictos agrarios, tala ilegal, vandalismo (Comisión Nacional Forestal [Conafor], 2024); estas causas concuerdan con lo documentado por Farfán-Gutiérrez et al. (2018), quienes señalan que existe una combinación de factores físicos y antrópicos, los cuales varían en las regiones y temporadas.

La alta resolución de las imágenes utilizadas en este estudio (hasta 0.28 m pixel) representó una ventaja crítica para detectar cambios finos en la cobertura vegetal, especialmente, en zonas de transición entre bosque, agricultura y vegetación secundaria. Estudios previos han señalado que la resolución espacial influye directamente en la precisión de la clasificación y en la detección de cambios sutiles en paisajes heterogéneos (Herold et al., 2005). Al emplear imágenes como GeoEye-1 y Birdseye, fue posible mejorar la discriminación de categorías que suelen confundirse en resoluciones más gruesas (>5 m), como ocurre en áreas montañosas y fragmentadas (Lu et al., 2004). Asimismo, el valor de Kappa (0.82) obtenido en la validación respalda la confiabilidad de la clasificación supervisada, y confirma que la precisión mejora sustancialmente cuando se utilizan imágenes de alta resolución y procesos de corrección geométrica robustos (Foody, 2002). Por tanto, este estudio aporta evidencia de que el uso de imágenes satelitales de alta resolución, combinadas con metodologías de código abierto son una herramienta efectiva para el monitoreo de cambios de uso del suelo en áreas naturales protegidas.

 

Conclusiones

 

El análisis multitemporal de imágenes satelitales permite evaluar con precisión la pérdida y degradación de los ecosistemas forestales dentro de la Reserva de la Biosfera Mariposa Monarca (RBMM) en distintos periodos. Los resultados evidencian una transformación significativa del paisaje, con una reducción alarmante en los bosques de oyamel, pino-encino, encino-pino y bosque mesófilo de montaña, lo que ha incidido en la reducción del hábitat de la mariposa Monarca. Aunque el bosque de encino ha mostrado una disminución en la tasa de deforestación a lo largo del periodo 1994-2023, otros ecosistemas como el bosque mesófilo de montaña y el bosque de encino-pino han experimentado un incremento en la pérdida de cobertura forestal, especialmente en el periodo 2008-2023.

Asimismo, la expansión agrícola ha sido un factor determinante en la reducción de la vegetación original, sobre todo en los bosques de encino y pino. Esta pérdida de cobertura forestal compromete la integridad de la biodiversidad y la provisión de servicios ecosistémicos esenciales, como la recarga hídrica del Sistema Hidrológico Cutzamala; además, la degradación de los bosques de oyamel representa una amenaza directa para la mariposa Monarca, contribuyendo a la reducción progresiva de sus poblaciones

Ante este panorama, se recomienda generar mapas de transición de mayor cambio de uso de suelo para priorizar estrategias de conservación y restauración ecológica en áreas críticas, como los bosques de encino, pino, mesófilo de montaña y oyamel, que sirvan de base para la implementación de medidas de manejo sustentable y protección ambiental claves para mitigar los impactos de la deforestación y garantizar la resiliencia de estos ecosistemas y por ende, de la mariposa Monarca.

 

Agradecimientos

 

A la Universidad Autónoma Agraria Antonio Narro, por la beca de licenciatura otorgada al primer autor y al Departamento Forestal por las facilidades otorgadas para la realización de la presente investigación.

 

Conflicto de intereses

 

Los autores declaran no tener conflicto de intereses.

 

Contribución por autor

 

Alondra Lizbeth Palacios-Carrillo y Rufino Sandoval-García: diseño, organización, análisis de la información y redacción del manuscrito; Celestino Flores-López y Jorge Méndez-González: validación, revisión y corrección del manuscrito. Todos los autores contribuyeron en la aprobación de la contribución final.

 

 

Referencias

 

Astola, H., Häme, T., Sirro, L., Molinier, M., & Kilpi, J. (2019). Comparison of Sentinel-2 and Landsat 8 imagery for forest variable prediction in boreal region. Remote Sensing of Environment, 223, 257-273. https://doi.org/10.1016/j.rse.2019.01.019

Belsky, J., & Joshi, N. K. (2018). Assessing role of major drivers in recent decline of monarch butterfly population in North America. Frontiers in Environmental Science, 6, Article 86. https://doi.org/10.3389/fenvs.2018.00086

Borotkanych, N. (2024, April 24). Spatial Resolution In Remote Sensing: Which Is Enough? EOS Data Analitics. https://eos.com/blog/spatial-resolution/

Champo-Jiménez, O., Valderrama-Landeros, L., y España-Boquera, M. L. (2012). Pérdida de cobertura forestal en la Reserva de la Biosfera Mariposa Monarca, Michoacán, México (2006-2010). Revista Chapingo Serie Ciencias Forestales y del Ambiente, 18(2), 143-157. https://doi.org/10.5154/r.rchscfa.2010.09.074

Comisión Nacional de Áreas Naturales Protegidas. (2001). Programa de Manejo de la Reserva de la Biosfera Mariposa Monarca [Libro blanco]. Comisión Nacional de Áreas Naturales Protegidas. https://simec.conanp.gob.mx/pdf_libro_pm/40_libro_pm.pdf

Comisión Nacional Forestal. (2024). Sistema Nacional de Información Forestal. Secretaría de Medio Ambiente y Recursos Naturales. https://snigf.cnf.gob.mx

Comisión Nacional para el Conocimiento y Uso de la Biodiversidad. (2024). Sistema Nacional de Información sobre Biodiversidad de México [Base de datos]. Comisión Nacional para el Conocimiento y Uso de la Biodiversidad. https://www.snib.mx/

Cuervo-Robayo, A. P., Téllez-Valdés, O., Gómez-Albores, M. A., Venegas-Barrera, C. S., Manjarrez, J., & Martínez-Meyer, E. (2014). An update of high-resolution monthly climate surfaces for Mexico. International Journal of Climatology, 34(7), 2427-2437. https://doi.org/10.1002/joc.3848

EoPortal. (2023, November 19). Pleiades Neo [Data set]. EoPortal. https://www.eoportal.org/satellite-missions/pleiades-neo#eop-quick-facts-section

Farfán-Gutiérrez, M., Pérez-Salicrup, D. R., Flamenco-Sandoval, A., Nicasio-Arzeta, S., Mas, J.-F., y Ramírez-Ramírez, I. (2018). Modelación de los factores antrópicos como conductores de la ocurrencia de incendios forestales en la Reserva de la Biosfera de la Mariposa Monarca. Madera y Bosques, 24(3), Artículo e2431591. https://doi.org/10.21829/myb.2018.2431591

Flores-Martínez, J. J., Martínez-Pacheco, A., Rendón-Salinas, E., Rickards, J., Sarkar, S., & Sánchez-Cordero, V. (2019). Recent forest cover loss in the core zones of the Monarch Butterfly Biosphere Reserve in Mexico. Frontiers in Environmental Science, 7, 1-8. https://doi.org/10.3389/fenvs.2019.00167

Food and Agriculture Organization. (1996). Forets resources assessment 1990. Survey of tropical forest cover and study of change processes. Food and Agriculture Organization. https://bibliotecadigital.infor.cl/handle/20.500.12220/5499

Foody, G. M. (2002). Status of land cover classification accuracy assessment. Remote Sensing of Environment, 80(1), 185-201. https://doi.org/10.1016/S0034-4257(01)00295-4

García-Nieto, H., y Martínez-León, G. (2007). Uso de ortofotos para actualizar el mapa de uso del suelo en Guanajuato, México. Agricultura Técnica en México, 33(3), 271-280. https://www.scielo.org.mx/scielo.php?script=sci_arttext&pid=S0568-25172007000300006

GeoSoluciones, Soluciones Integrales en Geomática e Ingeniería Geoespacial. (2016). Imágenes Satelitales de Alta Resolucion. GeoSoluciones, Soluciones Integrales en Geomática e Ingeniería Geoespacial.https://www.geosoluciones.cl/documentos/imagenes-alta-resolucion.pdf

Guillén, C., Murugan, V., y Dávila, M. (2015). Aplicación de teledetección y SIG para el levantamiento cartográfico de los suelos de la cuenca Solani, India. Revista Geográfica Venezolana, 56(2), 185-204. https://www.redalyc.org/pdf/3477/347743079003.pdf

Hernández-Lozano, R., y Pavón, N. P. (2024). Índices para el monitoreo de cuerpos de agua usando sensores remotos. Acta Universitaria, 34, Artículo e3814. https://doi.org/10.15174/au.2024.3814

Herold, M., Couclelis, H., & Clarke, K. C. (2005). The role of spatial metrics in the analysis and modeling of urban land use change. Computers, Environment and Urban Systems, 29(4), 369-399. https://doi.org/10.1016/j.compenvurbsys.2003.12.001

Honey-Rosés, J. (2009). Disentangling the proximate factors of deforestation: The case of the Monarch Butterfly Biosphere Reserve in Mexico. Land Degradation & Development, 20(1), 22-32. https://doi.org/10.1002/ldr.874

Instituto Nacional de Estadística y Geografía. (2018). Conjunto de datos vectoriales del uso de suelo y vegetación. Escala 1:250 000. Serie VII. Conjunto Nacional [Carta de uso del suelo y vegetación]. Instituto Nacional de Estadística y Geografía. https://www.inegi.org.mx/app/biblioteca/ficha.html?upc=889463842781

Instituto Nacional de Estadística, Geografía e Informática. (1994). Ortoimagenes Escala 1:20 000 [Claves E14A16 y E14A35]. Instituto Nacional de Estadística, Geografía e Informática. https://www.inegi.org.mx/temas/imagenes/ortoimagenes/#Descargas

Instituto Nacional de Estadística, Geografía e Informática. (2005). Ortoimagenes Escala 1:10 000 [Claves E14A25, E14A26 y E14A36]. Instituto Nacional de Estadística, Geografía e Informática. https://www.inegi.org.mx/temas/imagenes/ortoimagenes/#Descargas

Jumb, V., Sohani, M., & Shrivas, A. (2014). Color image segmentation using K-means clustering and Otsu’s adaptive thresholding. International Journal of Innovative Technology and Exploring Engineering, 3(9), 72-76. http://www.ijitee.org/wp-content/uploads/papers/v3i9/I1495023914.pdf

Landis, J. R., & Koch, G. G. (1977). The measurement of observer agreement for categorical data. Biometrics, 33(1), 159-174. https://pubmed.ncbi.nlm.nih.gov/843571/

López-García, J. (2011). Deforestation and forest degradation in the Monarch Butterfly Biosphere Reserve, Mexico, 2003–2009. Journal of Maps, 7(1), 626-633. https://doi.org/10.4113/jom.2011.1163

López-García, J., Navarro-Cerrillo, R. M., & Manzo-Delgado, L. de L. (2022). Forest land-cover trends in the Monarch Butterfly Biosphere Reserve in Mexico, 1994-2017. Environmental Conservation, 49(4), 244-254. https://doi.org/10.1017/S0376892922000327

Lu, D., Mausel, P., Brondízio, E., & Moran, E. (2004). Change detection techniques. International Journal of Remote Sensing, 25(12), 2365-2407. https://www.researchgate.net/publication/235245895_Change_Detection_Techniques

Palacio-Prieto, J. L., Sánchez-Salazar, M. T., Casado-Izquierdo, J. M., Sancho-y Cervera, J., Valdez-Mariscal, C., y Cacho-González, R. (Coords.). (2004). Indicadores para la caracterización y ordenamiento del territorio. Universidad Nacional Autónoma de México, Secretaría de Desarrollo Social, Secretaría de Medio Ambiente y Recursos Naturales e Instituto Nacional de Ecología. https://unidadesdepaisaje.unam.mx/sites/default/files/2022-06/Palacio%20et%20al%2C%202004_0.pdf

Puyravaud, J.-P. (2003). Standardizing the calculation of the annual rate of deforestation. Forest Ecology and Management, 177(1-3), 593-596. https://doi.org/10.1016/S0378-1127(02)00335-3

QGIS Development Team. (2024, February 23). QGIS Geographic Information System (version 3.36.0) [Software]. Open Source Geospatial Foundation Project. https://download.qgis.org/downloads/

Quezada, A. S., Sevilla-Tapia, J. D., y Avilés-Sacoto, E. C. (2022). Estimación de la tasa de deforestación en Pastaza y Orellana- Ecuador mediante el análisis multitemporal de imágenes satelitales durante el período 2000-2020. ALFA. Revista de Investigación en Ciencias Agronómicas y Veterinarias, 6(17), 282-299. https://doi.org/10.33996/revistaalfa.v6i17.168

Sáenz-Romero, C., Rehfeldt, G. E., Duval, P., & Lindig-Cisneros, R. A. (2012). Abies religiosa habitat prediction in climatic change scenarios and implications for monarch buttery conservation in Mexico. Forest Ecology and Management, 275, 98-106. https://doi.org/10.1016/j.foreco.2012.03.004

Sandoval-García, R., González-Cubas, R., y Jiménez-Pérez, J. (2021a). Análisis multitemporal del cambio en la cobertura del suelo en la Mixteca Alta Oaxaqueña. Revista Mexicana de Ciencias Forestales, 12(66), 96-121. https://doi.org/10.29298/rmcf.v12i66.816

Sandoval-García, R., Jiménez-Pérez, J., Yerena-Yamallel, J. I., Aguirre-Calderón, O. A., Alanís-Rodríguez, E., y Gómez-Meza, M. V. (2021b). Análisis multitemporal del uso del suelo y vegetación en el Parque Nacional Cumbres de Monterrey. Revista Mexicana de Ciencias Forestales, 12(66), 70-95. https://doi.org/10.29298/rmcf.v12i66.896

SASGIS. (2024). SASPlanet (Versión 200606.10075 Stable) [Software]. SASPlanet Development Team. www.sasgis.org

Vidal, O., López-García, J., & Rendón-Salinas, E. (2014). Trends in deforestation and forest degradation after a decade of monitoring in the Monarch Butterfly Biosphere Reserve in Mexico. Conservation Biology, 28(1), 177-186. https://doi.org/10.1111/cobi.12138

Zavala O., P., y Zavala A., C. (2002). Uso de imágenes satelitales de alta resolución para generar cartografía. Revista Facultad de Ingeniería U.T.A., 10, 35-43, https://www.scielo.cl/pdf/rfacing/v10/art05.pdf

 

 

        

Todos los textos publicados por la Revista Mexicana de Ciencias Forestales sin excepción– se distribuyen amparados bajo la licencia Creative Commons 4.0 Atribución-No Comercial (CC BY-NC 4.0 Internacional), que permite a terceros utilizar lo publicado siempre que mencionen la autoría del trabajo y a la primera publicación en esta revista.